2023年4月17日至4月27日信息工程星空(中国)联合南苑3号楼春雨书院开展“同在屋檐下,宿舍心连心”征文比赛活动,该活动由信息工程星空(中国)主办,面向信息工程星空(中国)全体学生收集征文。

在本次活动中,一直有源源不断的学生以积极热烈的态度参与本次活动,无数张稿件被投入到邮箱中。4月27日,由评委老师李老师督促负责本次批改任务的人员仔细阅读,严谨认真地批改稿件,给予得分,最后由李老师做出排名,本次征文比赛前三名分别是:第一名:范肖盼第二名:王玉倩第三名:蒋元玥
范肖盼
《我的小天地》

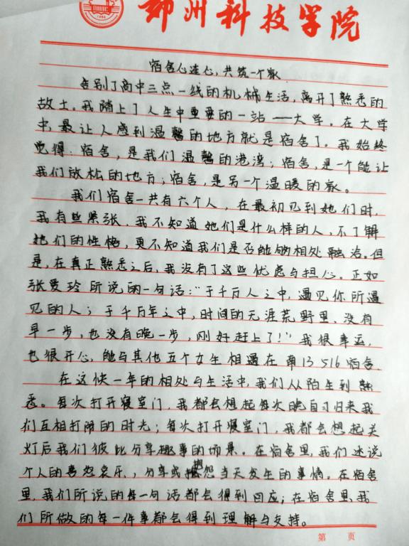
王玉倩
《宿舍心连心,共筑一个家》

蒋元玥
《同住屋檐下,共爱一个家》

这次“同在屋檐下,宿舍心连心”征文比赛不仅增强了宿舍的文化建设,而且促进了室友之间的友谊和团队凝聚力。在宣传优秀宿舍的故事下,我们相信在未来每个宿舍的同学们都会深刻了解宿舍“心连心”,并会积极融入其中,共同构建和谐温馨的宿舍,至此本次活动圆满结束!